I’m happy to announce the publication of my new research article titled Towards an accurate method for column void volume determination using liquid chromatography-mass spectrometry, which we published in the Journal of Chromatography A. 1
We explored the question: How does one accurately measure the column void volume, an essential experimental characteristic of chromatographic science? By comparing conventionally used column void volume markers (VVM) with a more precise minor disturbance method, we aimed at simplifying the high degree of ambiguity surrounding the accurate measurements of column void volumes, which is currently present in the literature. 2
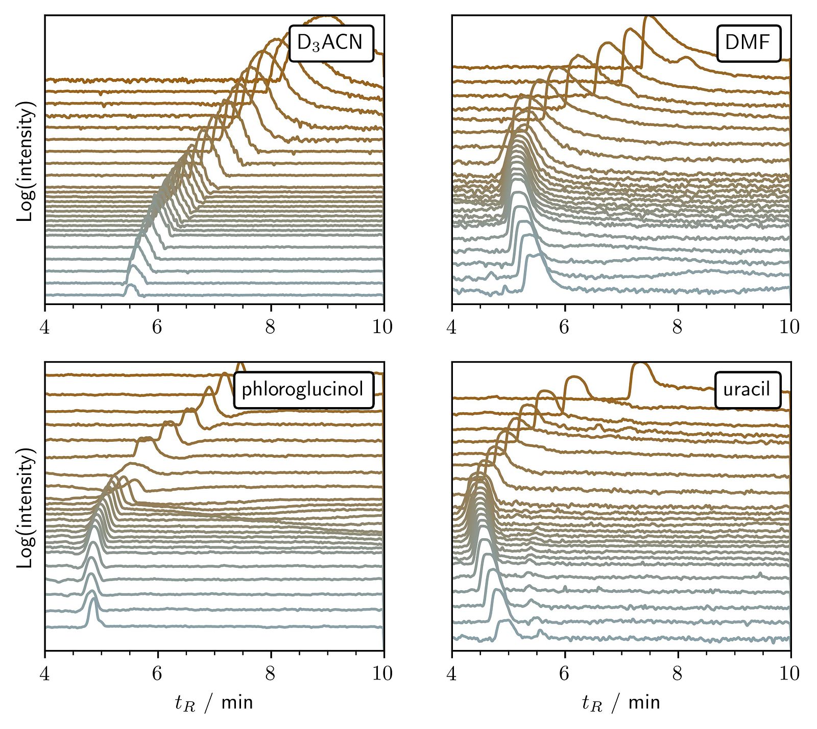
A void volume marker is ideally a compound that exhibits no retention behaviour during reversed-phase liquid chromatography experiments. In this study, we used uracil, N,N-dimethylformamide (DMF) and phloroglucinol as model VVM. Furthermore, we directly observed the retention behaviour of acetonitrile (ACN) via mass spectrometric (MS) detection of deuterated ACN (D\(_3\)ACN).
Fig. 1 presents the log-transformed MS chromatograms of all analytes under investigation. It clearly demonstrates two main findings: (i) DMF, uracil and phloroglucinol exhibit retention-like behaviour, observed in the parabolic patterns, therefore violating the central assumption of their "unretained" behaviour. (ii) D\(_3\)ACN also exhibits clear retention-like behaviour!
D. Ribar, M. Lukšič, I. Kralj Cigić, Towards an accurate method for column void volume determination using liquid chromatography-mass spectrometry, J. Chromatograpy A. 1706 (2023) 464245. https://doi.org/10.1016/j.chroma.2023.464245.
C.A. Rimmer, C.R. Simmons, J.G. Dorsey, The measurement and meaning of void volumes in reversed-phase liquid chromatography, J. Chromatogr. A. 965 (2002) 219–232. https://doi.org/10.1016/S0021-9673(02)00730-6.
The results suggest that using VVM cannot yield satisfactory estimates of column void volues, due to their deviation from ideal behaviour. By using the minor disturbance method 3 , the column void volume can be defined as Eq. 1 \[ V_{0}(c) = \frac{1}{c_{max}}\int_0^{c_{max}} V_R(c)\, dc\tag{1}\] which defines the column void volume \(V_0\) as the integral average of the retention volumes of an analyte. By using the retention volumes of D\(_3\)ACN, we were able to calculate the minor disturbance void volume, which presents an accurate and thermodynamically concise value of the elusive column void volume. Comparison of void volumes obtained with the minor disturbance method and VVM revealed differing values. Interestingly, for the two chromatographic columns used in our study, VVM underestimated the minor disturbance void volume by up to 24-36%.
The full article is open access and available via this link.
H.M. McNair, Y. V. Kazakevich, Thermodynamic definition of HPLC dead volume, J. Chromatogr. Sci. 31 (1993) 317–322. https://doi.org/10.1093/chromsci/31.8.317.
-
D. Ribar, M. Lukšič, I. Kralj Cigić, Towards an accurate method for column void volume determination using liquid chromatography-mass spectrometry, J. Chromatograpy A. 1706 (2023) 464245. https://doi.org/10.1016/j.chroma.2023.464245. ↩
-
C.A. Rimmer, C.R. Simmons, J.G. Dorsey, The measurement and meaning of void volumes in reversed-phase liquid chromatography, J. Chromatogr. A. 965 (2002) 219–232. https://doi.org/10.1016/S0021-9673(02)00730-6. ↩
-
H.M. McNair, Y. V. Kazakevich, Thermodynamic definition of HPLC dead volume, J. Chromatogr. Sci. 31 (1993) 317–322. https://doi.org/10.1093/chromsci/31.8.317. ↩